
---
D'après le Dr Boris Karpov, du laboratoire de recherche de l'armée américaine, 1944, on utilise couramment aujourd'hui le coefficient balistique (BC ou G), qui représente non seulement les caractéristiques de la forme et du poids de la balle mais aussi Tenir compte de la résistance réelle de l'air à une vitesse déterminée.
Les modèles de calcul actuels se basent sur des projectiles standardisés qui sont au nombre de 8, de G1 à G8. L’idée est de ne pas devoir refaire des calculs fous pour chaque nouveau projectile mais de se « raccorder » à un des projectiles standardisés. La principale force qui s’applique sur le projectile en vol (hors vent et gravité) est la trainée pour laquelle on a besoin d’un coefficient de trainée à incidence nulle (CD0). Chaque projectile de 1 à 8 a donc une courbe de coefficient de trainée en fonction du nombre de Mach qui lui est propre et grâce au coefficient balistique on vient se fitter à une courbe existante. Cependant il faut faire un choix, et de fait l’industrie est encore fort orientée G1 (pour des questions d’accessibilité et financières) mais dans le tir longue distance on se rapproche beaucoup plus du projectile G7 qui est plus allongé et qui dispose d’un rétreint conique à l’arrière. Mais ça va coûter cher de convertir tous les coefficients G1 vers G7, et surtout pour un même nouveau projectile, le BC G7 est inférieur au BC G1, ce qui fait dire à l’utilisateur que son projectile est moins bien puisqu’on prétend partout (en partie à tort) que le BC doit absolument se rapprocher de 1.
Les projectiles pour arme de poing que l’on rencontre sont souvent de la norme G1 et parmi les projectiles HPBT ou Match pour armes d’épaule on retrouve la norme G7.
Le coefficient balistique est la performance d’une ogive lors du tir, à maintenir sa vitesse, sa trajectoire, sa résistance aux vents latéraux et sa résistance dans l’air. Aussi le CB est en fonction de la masse, du diamètre, de sa forme (sécante, tangente, hybride) et de sa longueur.
La vitesse, joue un grand rôle ici. Si l'ogive maintient bien la vitesse initiale, elle ira plus loin puisqu'elle décélèrera moins vite. Pour cela il faut qu'un des signes particuliers soit d'utiliser pour le profil avant une ogive de forme sécante au lieu de tangente et que le profil arrière de l'ogive soit de forme conique (BT ou Boatail). Ainsi sa résistance engendrée par la traînée sera minime. Pour une même vitesse, une ogive avec un CB plus petit aura tendance à tomber plus rapidement, puisqu’elle est freinée par la résistance de l’air.
La trajectoire : Elle n’échappe pas à la loi de la gravitation mise en évidence par Newton ! La gravité joue un rôle certain pour la descente de la trajectoire de l'ogive car elle descendra. Mais si elle maintient bien sa vitesse grâce à un bon profilage, la descente sera plus lente même si la gravitation sera toujours de la partie, quel que soit l’endroit ou l’altitude du tir.
Les vents latéraux, si l'ogive maintient bien sa vitesse avec un bon profilage, elle sera moins sensible aux vents latéraux mais déviera, moins, mais déviera quand même.
Les effets de la gravité et des vents sont directement proportionnels au temps d’exposition de l’ogive à ceux-ci. Plus une ogive se déplace rapidement, plus vite sera atteint la cible et moins longtemps elle sera exposée à la gravité et aux vents.
En Europe le coefficient est de 0,000 à 1,0. Un coefficient de 0,250 sera moins efficace qu’un coefficient de 0,550.
En conclusion plus le coefficient balistique est élevé plus l'ogive ira loin avec une trajectoire plus tendue qu’avec une ogive qui aurait un coefficient balistique plus bas.
Le G7 est rarement publié par les fabricants de munitions et est utilisé le plus souvent par les fabricants d'ogive de qualité comme les Berger VLD ou les Scenar et Scenar-L de Lapua ainsi que certaine Sierra SMK, Hornady ELD Match et quelques autres.
Les fabricants publient le coefficient G1 parce que cela donne des gros chiffres et ça parait bien d’un point de vue marketing sauf qu’en réalité le G1 ne s’applique pas à une ogive de type "boatail".
Le G1 est un modèle standard qui ne s’applique plus aux ogives modernes comme le G7, pour avoir le bon BC il faudrait que le calculer soi-même ou consulter la bible balistique de Brian Litz.
En conclusion le G1 s’applique à une ogive "flat base" d’une longueur de 2x le calibre, avec un bout rond comme les ogives pour armes de poing. Hors dans le TLD il est plus important de connaître le G7 pour réaliser les abaques de tir plus précis.
---
La balistique interne est la partie de la balistique qui étudie ce qui se passe à l'intérieur des armes à feu, dès la pression sur la détente.
Ces phénomènes se produisent dans un temps extrêmement court, allant de quelques millisecondes, soit moins d’un centième de seconde, pour les armes de petit calibre (comme le .22 Long Rifle), à quelques dizaines de millisecondes pour celles de gros calibres (comme le .50 BMG)
Parmi les choses qui affectent la performance interne (pression et vélocité) d'une certaine cartouche et d'un certain projectile, nous avons :
Que se passe-t-il lorsque la détente est pressée ?
Lorsque vous appuyez sur la détente et que l'amorce éclate, la flamme intense créée par le mélange d'amorçage remplit l'intérieur de la douille et allume la charge de poudre au grand complet. La pression montante générée par la poudre en combustion va pousser sur la paroi de l'étui, ce qui va la déformer jusqu'à ce qu'elle s'applique au maximum contre la paroi de la chambre où la cartouche est logée. Les gaz ne pouvant plus se dilater davantage à l'intérieur de l'étui vont emprunter la seule sortie possible et vont alors pousser le projectile dans le canon. Si le projectile est lourd, et maintenu solidement dans le collet de la cartouche, ou si la pression des rayures sur le projectile est grande, le confinement de la poudre est accentué et la combustion va procéder plus rapidement que si ces conditions n'auraient pas été présentes. En fait, vous avez des plus hautes pressions plus rapidement.

Ensuite le projectile entre dans le canon et s'imprime de la rayure exprimée par une fraction 1/x (x étant la distance en pouces parcourue pour 1 rotation) ce qui va donner à l'ogive de se mettre en rotation sur elle-même tout au long de sa progression dans le canon (effet gyroscopique) c'est ce sens de rotation qui va donner la stabilité à l’ogive sur son parcourt jusqu'à la cible. La rayure est un élément déterminant pour le choix de l'ogive et par conséquent le choix de votre munition.
On va faire tourner le projectile à grande vitesse (plusieurs milliers de tours par minutes) selon son axe longitudinal. Les forces de frottement de l’air qui provoqueraient, sans la rotation, son basculement, lui produiront tout au plus un mouvement de précession, à condition que la vitesse de rotation soit bien choisie.
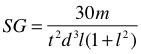
C'est un peu plus technique mais il existe une formule de Miller qui permet de déterminer un coefficient de stabilité en tenant compte de la longueur de l'ogive, de son poids, son diamètre et sa vitesse de rotation donnée par le pas de rayure. Le mieux étant de se situer au-dessus de 1,4 en se rapprochant de 2 pour une meilleure stabilisation sur les longues distances:
Pour les besoins de la compréhension du phénomène, à une vitesse de « x » m/s = distance parcoure en mètre et en l’espace-temps de 1 seconde, la vitesse de rotation du projectile sera de « y » tours pendant cette même seconde. La vitesse est mesurée à la bouche du canon.
Voici quelques chiffres de coefficient et de vitesse de rotation avec une ogive Lapua de 155 grains évoluant à une vitesse de 860 m/sec :
- Pour un pas de rayure de 1/12: coefficient: 1,387 représente une rotation de 2.821,5 tr/sec
- Pour un pas de rayure de 1/11: coefficient: 1,651 représente une rotation de 3.078 tr/sec
- Pour un pas de rayure de 1/10: coefficient: 1,997 représente une rotation de 3.385,8 tr/sec
Pour comparer voici quelques chiffres avec une ogive Lapua de 175 grains évoluant à une vitesse de 775 m/sec:
- Pour un pas de rayure de 1/12: coefficient: 1,401 représente une rotation de 2.542,7 tr/sec
- Pour un pas de rayure de 1/11: coefficient: 1,668 représente une rotation de 2.773,8 tr/sec
- Pour un pas de rayure de 1/10: coefficient: 2,018 représente une rotation de 3.051,2 tr/sec
Par cette comparaison on verra que le coefficient du projectile de 175 grains est à peine quelques centièmes plus stable que celui de 155 grains dans un même pas de rayure. On verra également qu’elles seront plus stables avec une rayure de 1/10 qu’avec une rayure de 1/12 car sa vitesse de rotation sera plus importante.
Plus le canon sera long, plus la poudre aura de temps de se consumer entièrement dans un milieu clos ce qui va donner plus de pression pour pousser le projectile et donc plus de vitesse à la bouche. Vous avez de plus hautes vélocités avec un plus grand canon, tous les autres facteurs étant égaux.
Toutefois, il y a des limites dans la longueur du canon car il faut veiller à ce que la pression qui pousse derrière le projectile soit toujours supérieure à la pression qui se trouve devant le projectile. Une fois le point d'égalité étant atteint, le projectile serait alors freiné à l'intérieur du canon...
Quelques exemples de vélocités relevées dans différentes longueurs de canon avec une cartouche .308 Lapua 155 grains:
• Canon de 20 pouces (50 cm): 820 m/s
• Canon de 24 pouces (61 cm): 845 m/s
• Canon de 26 pouces (66 cm): 860 m/s
Tous les paramètres de la balistique interne sont identiques, c'est la longueur du canon qui a permis une combustion plus complète de la poudre à l'intérieur ce qui a généré plus de pression, plus longtemps, pour pousser le projectile et donc plus de vitesse à la bouche du canon. On compte une différence d'environ 12 m/s par Pouce supplémentaire au-delà de 20 pouces de longueur de canon.
---
Ici ce concentre tous les phénomènes de bouche, donc la percussion initiale et flamme de bouche (ré inflammation des gaz imbrûlés au contact de l’oxygène de l’air ambiant, ce qui engendre un saut de vitesse et une déstabilisation du projectile lorsqu’il quitte le tube), ondes de choc et l’onde de pression (liées à la vitesse du projectile, si le projectile est à une vitesse subsonique il n’y a pas d’onde de choc, juste un onde de pression liée à la vitesse des gaz), phénomène de freinage du recul si l’arme est équipée d’un frein de bouche.
A la sortie du canon, les gaz se détendent et n’étant plus bloqués par le culot du projectile, vont accélérer et dépasser ce dernier. Au tout début de cette phase la différence de vitesse entre le projectile et les gaz est telle qu’une onde de choc se crée (un cône devant le projectile), si le projectile est supersonique, c'est le "Bang" que l'on entend. Un autre phénomène qui explique le « bang » la percussion initiale qui est la ré-inflammation des gaz imbrulés avec l’oxygène de l’air ambiant dans le cas d’un projectile subsonique ou même d’un tir à blanc.
Ce phénomène est très net en prise de vue avec des caméras haute vitesse.

La balistique extérieure
La première chose à retenir c'est que l'axe de visée est rectiligne, la trajectoire de l'ogive est "parabolique".
.jpg?v=1ckqms7)
Le projectile ayant quitté la zone de turbulences propre à la balistique intermédiaire, nous entrons dans le domaine typique de la balistique extérieure.
Durant toute la phase de son vol, le projectile sera soumis principalement à deux forces : la force de gravité qui le fera chuter vers le centre de la Terre et la force de traînée, la retardation, due à l’air dans lequel il se déplace, qui le ralentira et l’empêchera d’aller aussi loin que s’il était tiré dans le vide.
A sa sortie du canon, le projectile va rencontrer, à grande vitesse, l’air ambiant immobile. Il va de ce fait subir un choc que l’on appelle en l’occurrence "la percussion initiale" et aussi "l’onde de choc" et qui tentera également à le déstabiliser.
Ce qu’il faut retenir et ce pour toute la durée du vol du projectile
• Plus l'air rencontré par le projectile est froid, plus l'air sera dense et plus vite le projectile sera freiné. Il en résulte une portée plus courte.
• Plus l'air rencontré par le projectile est chaud, moins l'air est dense et moins le projectile sera freiné. Il en résulte une portée plus longue.
Supposons que notre carabine soit posée avec le canon parfaitement à l’horizontal sans tenir compte d’un axe de visée. Nous constaterons que l’ogive va chuter au fur et à mesure de son avancement.
On se retrouve dans la même situation que si le projectile se déplaçait dans les gaz, le culot en avant et à une vitesse supersonique. Il est aisé de se représenter les phénomènes de déstabilisation auxquels il est soumis, la précession et la nutation. D’où la nécessité de tenir compte de cette phase dans la recherche de la stabilité du projectile.
Démonstration de l'influence de la température de l'air sur un projectile qui a une même vitesse à la bouche du canon:
A une température de +15 degrés la chute est de 11m70
A une température de -25 degrés la chute est de 13m35
A une température de +45 degrés la chute est de 10m84
Pour avoir une idée de la forme de la trajectoire d'une balle d'arme à feu, regardez le " drive " d'un golfeur ou le tir d'un footballeur. Le début semble rectiligne puis la courbe s'incurve rapidement et la chute vers le sol est très abrupte.
La trajectoire d'un projectile est beaucoup plus plate, mais la forme est la même.
Le projectile est donc freiné par l'air dans lequel il se propage. Ce freinage, nommé " retardation ", dépend de nombreux paramètres tels que la masse du projectile, son diamètre maximum ou maître couple, sa forme.
Les normes de vitesses
Une nouvelle unité de mesure a été introduite qui représente le rapport de la vitesse de l’ogive par la vitesse du son : Le Mach du nom du physicien autrichien qui vers 1880-1890 mit pour la première fois en évidence le rôle de la vitesse du son aérodynamique
Aux températures habituelles et dans l'air, la vitesse du son (Mach) vaut 343,6 m/s ou 1 237 km/h.
De par sa forme, un projectile classique a son centre de gravité derrière le centre de pression (là où s’applique la résultante des forces aérodynamiques), contrairement à un projectile flèche. On dit donc que le projectile est statiquement instable parce que le nez est poussé vers le haut tandis que le culot est poussé vers le bas (sorte de tangage vers l’arrière). Pour le stabiliser dynamiquement sur sa trajectoire il va donc falloir lui imposer une vitesse de rotation autour de son axe longitudinal, dépendante de sa forme et de sa vitesse de translation, et cela est réalisé au moyen des rainures dans le tube. Il s’agit donc d’une stabilisation gyroscopique, au contraire d’une stabilisation par empennages pour les projectiles flèches, qui nécessitent un tube lisse…
Dès que le projectile entre en contact avec la rayure du canon, il est animé par un mouvement de rotation sur lui-même au fur et à mesure qu'il avance dans le canon.
Plus la rayure est serrée (inclinée), plus la vitesse de rotation sur lui-même sera rapide (plusieurs milliers de tours par minute).
Pour une rayure de 1/10 le projectile tournera plus vite que pour une rayure de 1/12.
Lorsque le projectile quitte le canon, ce mouvement de rotation lui permet de garder une grande stabilité sur l'axe de sa trajectoire et tout au long de son vol jusqu’à la cible.

Au contact de l'air et des forces le contraignant dans son avancée vers la cible lointaine, le projectile dévie de sa trajectoire dans le sens de sa rotation (par exemple une ogive de .308 Winchester peut dériver de 31 cm sur une distance de 1.000 mètres par rapport son axe de visée initial). C’est ce que l’on appelle le Drift causé par l’effet Magnus.
Si votre canon à une rayure à droite, le projectile déviera vers la droite et bien sûr si la rayure est à gauche, le projectile ira vers la gauche.
La précession
La précession est le nom donné au changement graduel d'orientation de l'axe de rotation d'un objet ou, de façon plus générale, d'un vecteur sous l'action de l'environnement, par exemple, quand un couple lui est appliqué. Ce phénomène est aisément observable avec une toupie mais tous les objets en rotation peuvent subir la précession. Lors de la précession, l'angle que fait l'axe de rotation ou le vecteur avec une direction donnée reste fixé. Le vecteur ou l'axe de rotation décrit ainsi au cours du temps un cône dont l'axe est la direction fixée.
La représentation ci dessous est un peu exagérée pour montrer le phénomène de précession qui est présent toute la durée du vol de l'ogive mais cela permet de bien comprendre ce qu'il se passe.

.jpg?v=1ckqncn)
La nutation
Petit mouvement périodique qu'effectue l'axe de rotation d'un corps animé d'un mouvement de type gyroscopique, autour de la position moyenne de cet axe. Ce petit mouvement s'ajoute à la précession.
C'est un phénomène qui se produit à la sortie de la bouche du canon à la rencontre de l'air ambiant devant et les gaz sortant du canon derrière ce qui déstabilise l'ogive quelques mètres et puis qui se reproduit au moment où la vitesse de l'ogive ralenti et passe dans la zone transsonique.
.jpg?v=1ckqncn)

Il est clair qu'un projectile capable de conserver la stabilité tout au long de son vol ira plus loin et sera plus précis. C'est la raison pour laquelle le coeficient est important pour calculer avec la formule de Miller la stabilité de l'ogive à la bouche du canon mais aussi à la distance que nous voulons atteindre.
La stabilité dynamique ou stabilité gyroscopique dévelopée
C'est la capacité d'une ogive d'être le plus stable possible au passage de la vitesse supersonique vers la zone transsonique. Une ogive ayant une stabilité gyroscopique supérieur à 1,4 sur la formule de Miller passera mieux la zone transsonique.
Application de la formule de Miller.

En tenant compte des éléments suivant:
La formule peut être écrite dans une forme plus étendue en tenant compte de la vitesse du projectile et de la pression atmosphérique et température (densité de l'air):

En incluant les éléments suivant:
- Pour un usage militaire: entre 1.4 et 2 sur la distance à parcourir.
- Pour les benchresters le plus près de 1 (disons 1.2) tout en laissant de la marge pour faire face à toute variation des facteurs car en dessous de 1, même de façon minimale, le projectile culbute.
Il faut savoir qu'une vitesse de rotation gyroscopique peu élevée dans la zone transsonique augmentera la précession et la nutation, l'ogive sera encore plus sensible aux perturbations climatique (surtout le vent).
Une ogive courte passera mieux la zone transsonique car le centre de pression et le centre de gravité sont très proche (X) et donc moins vite déstabilisée.
Imaginez la comparaison entre une petite toupie et une grande toupie lorsque leurs vitesses de rotation gyroscopique vont ralentir jusqu'à la déstabilisation, la grande toupie sera déstabilisé plus rapidement et aura une amplitude plus importante que la petite.
Pour calculer le coefficient de stabilisation gyroscopique je vous propose un fichier tout fait sous Excel, il s'agit ici de la formule de Miller complète qui tient compte de la vitesse de l'ogive, de la température de l'air ainsi que de la pression atmosphérique. Il y a également un convertisseur de mesure métrique en mesure anglosaxone qui aidera à l'encodage des données si le besoin se faisait ressentir.
Le fichier s'ouvrira en mode protégé, il suffit d'activer la modification pour l'utiliser
Voici ce qui se produit de manière exagérée pour bien comprendre les différents mouvements de l'ogive et des forces qui l'entoure.
l'axe de l'ogive restera tangent par rapport à l'axe de la trajectoire
On remarque que l'ogive entre en zone transsonique vers 820 mètres jusqu'à 1075 mètres.
Ici on remarque que la zone transonique débute vers 1275 mètres et jusqu'à 1600 mètres.
---
La balistique terminale étudie tous les impacts. Ce qui se produit lorsque le projectile atteint sa cible y compris sur des matériaux et les réactions biologiques et physiologiques que cela entraîne sur l’être humain. Pour les études de balistique lésionnelle, on utilise des simulant (des matières qui possèdent les mêmes propriétés que les tissus musculaires humains).
Pour observer les lésions creusées par un projectile et reproduire au mieux les blessures du corps humain, on a utilisé de nombreux simulant : gélatine, plasticine, savon balistique, planches de sapin, peau de lapin et de cochon entre autres.
La plasticine et le savon balistique sont classés dans la catégorie des simulant peu élastiques, sur lesquels l’empreinte de la totalité de phénomènes énergétiques reste marquée. En revanche, la gélatine fait partie des simulant élastiques sur lesquels seule une partie des phénomènes reste marquée. L’un des meilleurs simulant est la gélatine à 10 %. Elle ne permet cependant pas d’observer les cavités temporaires. Elle a néanmoins comme inconvénient d’être un milieu homogène alors que le corps humain est un milieu hétérogène et complexe. L’autre simulant utilisé est le savon balistique dont la densité est pratiquement égale à celle de la gélatine et du tissu musculaire humain (densité = 1,6 g/cm2). Les propriétés d’un bon simulant par rapport à un tissu cible sont les suivantes :
Le savon balistique, contrairement à la gélatine, a l’avantage de pouvoir être conservé. Il existe aussi un simulant pour les os, fait de plastique.
On parle d’effet écran lorsque le projectile passe au travers d’un objectif intermédiaire avant d’atteindre la cible finale. Ce phénomène peut être à l’origine d’une altération du profil de la blessure, notamment lorsque le projectile se fragmente ou dévie de sa trajectoire originelle en se déstabilisant.
Le domaine de la balistique lésionnelle est important pour le médecin légiste et le criminaliste dans le cadre de la reconstitution de cas et de la compréhension des phénomènes lésionnels (chronologie des tirs, distance et inclinaison du tir déterminé par des tables). Ce domaine est également primordial pour les chasseurs, afin qu’ils puissent adapter leurs munitions au gibier. La balistique terminale revêt aussi beaucoup d’importance pour les policiers et les militaires, en permettant de nouveaux concepts d’armes et de munitions. Selon l’usage particulier de la munition, les fabricants doivent trouver un bon compromis entre la pénétration et la déformation du projectile afin de diminuer au maximum les ricochets et d’optimiser le pouvoir vulnérant.


---
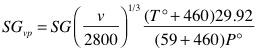
Quelques munitions de calibre .308 Winchester
Voici un tableau listant une série de munition avec les coefficient SG 0 (Stabilité Gyroscopique à 0 m) et SG 1000 (Stabilité Gyroscopique à 1000 m)
.jpg?v=1cjd9kc)
Vous me direz une ogive de 155 grains pour du tir longue distance ???, voici mes observations sur deux munitions:
On pensera plus vite à prendre une lourde ogive pour le tir longue distance parce qu'elle est moins sensible aux vents, c'est souvent le seul argument avancé. Mais n’oublions pas qu'elle se déplace plus lentement et que son temps d'exposition au vent est plus long ... à vous de voir. Donc pour moi le premier élément à tenir compte c'est la vitesse à la bouche canon, le coefficient de stabilité gyroscipique et puis le poids de l'ogive et non l'inverse.
Je crois que l'avantage d'une ogive lourde repose sur son énergie disponible qui reste supérieure même à longue distance, donc je pense qu'il est nécessaire de choisir sa munition en fonction de la cible engagée. Un chasseur sait ce qu'il faut prendre comme munitions selon le gibier qu'il chasse.
---
Le rechargement d'une munition pour le TLD
Je précisais que pour les novices, qu'il était préférable de commencer avec une munition manufacturée de bonne qualité de type HPBT car elle offrait déjà des possibilités de résultat à longue distance. Ces munitions de qualité HPBT offre des écarts de vitesse entre chaque cartouche tirée de l’ordre de 9 m/s à 12 m/s pour les meilleurs. Cet écart de vitesse permet de toucher une cible à 1000m avec une tolérance moyenne de 30 cm environ (1 MOA à 1000m) à condition que vous soyez extrêmement précis lors de vos tirs. Ces chiffres sont indicatifs et ne représente que l’erreur de la munition en elle-même mais en gros c’est ce que cela représente.
Pour diminuer cette tolérance moyenne, il faut passer au rechargement de vos munitions.
Pour ce qui est des personnes un peu plus expérimentées qui désirent recharger leurs munitions, il y a quelques éléments à bien respecter.
- Choisir un projectile ayant un bon coefficient balistique (CB) exprimé en G7 de préférence ou en G1. Un coefficient élevé est souvent ce que l'on recherche car la portée du projectile en sera améliorée quelque soit l’environnement dans lequel il évolue (par exemple la densité de l’air, le vent latéral…)
- Choisir une bonne poudre qui permettra d’atteindre des vitesses respectables sans créer de la surpression dans l’étui.
- Choisir une amorce de qualité, c’est elle qui enflammera la poudre contenue dans l’étui et il est primordial que cette réaction soit répétée de façon identique à chaque tir.
- Choisir des étuis de qualité ayant une bonne densité de matière. En gros tous les étuis devraient peser le même poids approximativement. S'ils ont été tiré 1 fois avant les essais et juste recalibré au niveau du collet c'est un plus car l'étui aura déjà les côtes de la chambre qui le recevra. Il ne pourra être réutilisé quand dans une seule carabine à verrou dans ce cas.
- Avoir un bon chronographe pour mesurer la vitesse de chaque projectile pendant la phase de recherche de la charge idéale.
Et surtout, lorsque vous rechargez, veillez à former un lot de munition suffisant à vos besoins et que ce lot soit identique en tout point : Même marque d’étui, même marque et modèle de projectile, même marque et modèle d’amorce, même marque et type de poudre. Si un seul des ces éléments devaient être remplacé, sachez que la recherche d’une charge idéale est à recommencer.
Je ne vais entrer dans les détailles approfondis de chaque élément ni même dans la qualité des outils de rechargement.
Je pense que suivant la distance que l’on veut atteindre et le budget que l’on veut y consacrer, que la précision du rechargement doit être adaptée et cohérente.
En regle générale, on choisira suivant le calibre un projectile lourd et de qualité avec un CB élevé et une poudre capable de le propulser à une vitesse au-delà de 800 m/s.
Par comparaison et pour exemple, vous pouvez aller revoir le tableau des munitions 308 Winchester ci-dessus et vous inspirer des vitesses manufacturées en fonction du poid du projectile.
Je vais juste me consacrer à la recherche de la charge idéale à mon sens.
La charge idéale ou charge de tir est celle qui permet de tirer le meilleur parti d’une arme donnée en tenant compte de la valeur de la chambre où vient se loger l’étui de la cartouche mais aussi de l’état d’usure du canon. Son équilibre et sa précision découlent d’un choix raisonné des composants utilisés. Très peu d’armes sont des cas désespérés. La sélection judicieuse des composants, des méthodes de chargement et des projectiles permet presque toujours, avec quelques recours aux astuces armurières éprouvées, de transformer une pétoire minable en une arme de niveau correct ou passable.
Cela ne s’improvise évidemment pas, mais demeure passionnant.
Il suffit parfois de choisir LA balle qui convient le mieux à l’arme en question et surtout à son canon. Forme, diamètre, poids d’un projectile doivent être adaptés au pas des rayures et aux caractéristiques physiques du canon. Comme le rechargement permet de disposer à volonté d’une très large plage de vitesses initiales et d’un vaste choix de composants, il est possible de régler la cartouche pour obtenir une excellente précision. Cela peut passer par le choix d’une poudre différente, par celui d’une longueur hors tout de la cartouche (et ipso facto de l’enfoncement de la balle dans l’étui) adaptée à la configuration de la chambre et du canon, par des changements de type d’amorce. Une fois ce stade atteint, les manipulations qu’on peut faire subir à l’étui (uniformisation des puits et des évents d’amorce, tournage extérieur des collets, sélection par poids ou par capacités) offrent un grand nombre d’opportunités qui permettent d’affiner encore cette précision. La valeur d’enfoncement de la balle, elle aussi, représente un vaste domaine qui influe de façon non négligeable sur la précision intrinsèque d’un couple arme munition. Les charges idéales ne peuvent pas être prédites. Chacun doit trouver pour son propre compte celle qui convient dans les plages de données des différentes tables.
D’autre personnes utilisent des techniques différentes que je respecte. Je vais juste vous détailler une technique que j’utilise et qui fonctionne parfaitement bien pour moi et pour tout ceux qui l’ont utilisé.
Certains l’appel la recherche en escalier.
Pour bien faire comprendre la méthode je vais l’expliquer par un exemple.
Pour cet exemple nous allons utiliser un projectile de calibre .308 winchester et d’un poids de 175 grains d’une marque bien connue pour sa qualité et poudre tout autant bien connue de type N150.
Sur la table de rechargement en rapport avec les éléments on peut voir la charge de départ (starting load) et la charge maximum (maximum load). Il est vivement conseillé de rester entre ces valeurs.
j'utilise la mesure exprimée en grains (grs)

Le principe consiste à recharger plusieurs séries de cartouches avec des poids de poudre différent.
Très important, soyez très méticuleux et repérez bien les différents lots
Dans notre cas :
Nous allons prendre la charge minimum et l'incrémentée de 1 grains environs.
1 série de 10 cartouches(*) chargées avec 39,2 grains de poudre;
1 série de 10 cartouches(*) chargées avec 40,2 grains de poudre;
1 série de 10 cartouches(*) chargées avec 41,2 grains de poudre;
1 série de 10 cartouches(*) chargées avec 42,1 grains de poudre.
(*) Si vous vous sentez l'âme d'un tireur d'exception alors vous pouvez réduire le nombre de cartouche à 5 pour les essais mais il me semble que 10 cartouches
représentent un meilleur visuel sur le groupement.
Et lorsque c'est fait, vous vous rendez au stand de tir pour effectuer les tirs d'essais et mesurer les vitesses de tous les projectiles. La distance idéale des essais est de 100m. Moins ça peut le faire mais la dispersion sera moins visible.
Assurez-vous d'avoir une position bien stable pour effectuer les tirs de manière à limiter au maximum l'erreur humaine.
Gardez et tirez toujours sur le même point à viser et ne cherchez pas à corriger votre tir. Si votre point à viser est le centre de la cible, visez toujours ce point même si les projectiles ne l’atteignent pas et qu’ils sont autre part sur la feuille.
Le but de l’exercice est d’avoir un groupement à un endroit sur la feuille.
Ce groupement sera un indicateur pour déterminer la bonne charge.
Voici un exemple de fiche que vous pouvez télécharger et imprimer pour prendre note des remarques de vos séries.
cliquez sur l'image pour télécharger un PDF.
Indiquez les vitesses de chaque cartouche et repéré l'impact sur la cible en notant le numéro de la cartouches comme ci-dessous.

Lorsque vous aurez passé en revue toutes les séries de cartouches préaprée, vous aurez un visuel sur les groupements réalisés.
Vous allez très vite remarquer que lorsque la charge est faible et/ou pas adpatée (souvent la charge de départ), que votre groupement sera plus dispersé.

A un moment lors de vos essais le groupement va se ressérer, c'est que l'on approche de la bonne charge.

Si la charge est forte (vers la charge maximum), le groupement devrait se disperser à nouveau comme pour la charge faible.
Vous l'aurez compris que la charge idéale pour le moment, se trouve là où le groupement est plus serré. D'ailleurs lors de la prise de vitesse, en principe celle-ci auraient dû se régulariser et avoir moins d'écart type entre elles-mêmes.
Pour l'exemple nous allons dire que la charge retenue lors de ce premier essais est 41 grains. Maintenant nous allons peaufiner cette charge jusqu'à l'optimiser en rapport avec votre arme et en l'incrémentant de 0,1 grains.
Donc nous allons préparer soigneusement les séries suivantes :
1 série de 10 cartouches(*) chargées avec 40,5 grains de poudre;
1 série de 10 cartouches(*) chargées avec 40,6 grains de poudre;
1 série de 10 cartouches(*) chargées avec 40,7 grains de poudre;
1 série de 10 cartouches(*) chargées avec 40,8 grains de poudre;
1 série de 10 cartouches(*) chargées avec 40,9 grains de poudre;
1 série de 10 cartouches(*) chargées avec 41 grains de poudre;
1 série de 10 cartouches(*) chargées avec 41,1 grains de poudre;
1 série de 10 cartouches(*) chargées avec 41,2 grains de poudre;
1 série de 10 cartouches(*) chargées avec 41,3 grains de poudre;
1 série de 10 cartouches(*) chargées avec 41,4 grains de poudre;
1 série de 10 cartouches(*) chargées avec 41,5 grains de poudre.
(*) Si vous vous sentez l'âme d'un tireur d'exception alors vous pouvez réduire le nombre de cartouche à 5 pour les essais mais il me semble que 10 cartouches
représentent un meilleur visuel sur le groupement.
De nouveau et lorsque c'est fait, vous vous rendez au stand de tir pour effectuer les tirs d'essais et mesurer les vitesses de tous les projectiles. La distance idéale des essais est de 100m. Moins ça peut le faire mais la dispersion sera moins visible.
Assurez-vous d'avoir une position bien stable pour effectuer les tirs de manière à limiter au maximum l'erreur humaine.
Gardez et tirez toujours sur le même point à viser et ne cherchez pas à corriger votre tir. Si votre point à viser est le centre de la cible, visez toujours ce point même si les projectiles ne l’atteignent pas et qu’ils sont autre part sur la feuille.
Encore une fois vous allez remarquer que plus vous approchez de la charge idéale et plus le groupement va se resserrer et les vitesses s'uniformiser. Lorsque la charge idéale sera dépassée, vous verrez à nouveau le groupement s'élargir sensiblement.
Supposont qu'a 41,2 grains que c'est votre charge idéale, vous devriez avoir très peu d'écart de vitesse et un groupement parfait.

En étant très méthodique et très méticuleux, il est possible d'avoir des écarts de vitesse de l'ordre de 2 à 3 m/s entre la plus lente et la plus rapide des cartouches.
Plus l'écart de vitesse entre est réduit, plus le projectiles est suceptible d'emprunter le même chemin et donc beaucoup plus de précision sur un assortiment de cartouches.
Lorsqu'on mesure les bonnes cartouches manufacturées, l'écart de vitesse entre la plus lente et la plus rapide des cartouches est de 9 à 10 m/s.
Votre cartouche bien rechargée est 3 fois meilleures que la cartouche manufacturée et finalement coûte moins chère pour un matériel de rechargement déjà amorti.
Bien sûr, une fois votre charge idéale trouvée et vos lots de munitions préparé, il faudra procéder à un zérotage de votre lunette en rapport avec la nouvelle cartouche pour obtenir un point visé / point touché.
ILD - Incremental Load Development
Outil conçu pour le rechargement des munitions. Il vous aide à faire le suivi de vos séries de cartouche en procédant comme la méthode expliquée ci-avant. L'application vous aide à calculer directement l'écart type et permet de stocker les différents rechargement ainsi que les valeurs que vous ajoutez lors de vos séances d'essais. Elle permet de repérée rapidement la charge idéale et de l'isolée.
1.définir les charges minimales et maximales (tableaux de rechargement) et les étapes.
2. Mesurez les vitesses pour chaque lot (la pression atmosphérique et la température peuvent également être enregistrées).
3. Obtenez les résultats : exportation en Excel + tableau incluant l'écart type + graphique.
Si votre mobile est équipé de capteurs appropriés, l'application peut récupérer automatiquement la pression et la température.
Actuellement disponible sur App store Android.
https://play.google.com/store/apps/details?id=appinventor.ai_raphael_mouchette.ILD&gl=BE

---
Les munitions d'armes épaulées et leurs portées efficaces
La portée pratique d'une arme à feu et d'une munition données exprime la distance maximale d'emploi réaliste.
Il ne s'agit pas de la portée théorique du projectile mais de la capacité du tireur à atteindre une cible visée en tenant compte de la précision de l'arme, des organes de visée, de la trajectoire, des conditions climatiques...
Donc un très bon tireur avec une arme techniquement au top pourrait aisément reporter ces distances de plusieurs centaines de mètres.
223 Rem ou 5.56x45mm NATO
La 223 Rem est employée par les forces de l'ordre. La 223 Rem n'a pas une pénétration excessive, contrairement à la 308 Win. Elle permet de frapper très précisément à moins de 100 mètres.
Le projectile de la 223 Rem est trop léger et est très sensible aux effets du vent, ce qui limite son potentiel balistique. Par temps venteux, il serait trop risqué d'utiliser ce calibre. Néanmoins, sans vent, par jour calme, des tirs de précision sur cible peuvent être effectués jusqu'à 600 mètres.
243 Win ou 6.16x51mm
La 243 se situe entre le 223 et le 308. La 243 a moins de recul que la 308, et une vitesse proche de la 223 Rem, avec un projectile deux fois plus lourd. La pénétration est supérieure à la 223 Rem et inférieure à la 308 Win. La 243 est un excellent calibre de tireur d'élite pour les forces de l'ordre jusqu'à 300 mètres. La 243 n'est pas employée par l'armée, mais elle pourrait atteinte une cible humaine à une distance efficace de 500 mètres.
6.5mm Swedish ou 6.5x55mm
La 6.5mm Swedish est une excellente cartouche avec une exactitude et un coefficient balistique élevés. Le projectile est plus lourd que la 243 Win mais plus léger que la 308. Sa pénétration est moins bonne que la 308 Win. Cette cartouche qui a fait la deuxième Guerre Mondiale, à trouvé son application militaire avec une portée efficace jusqu'à 700-800 mètres. En tir sur cible, elle peut atteindre les 1 000 mètres avec de bonne condition.
6.5x284 Norma ou 6.5x284mm
Ses caractéristiques balistiques sont un peu comme la 30-06 Springfield mais inférieure à la 300 Win Mag ou la 7mm Rem Mag. En application militaire, elle est utilisée pour sa très forte pénétration.
303 British ou 7.7x56mm R
Ce calibre légendaire fut utilisé pendant les deux guerres mondiales par les troupes Britanniques. Son usage, militaire comme pour les forces de l'ordre, fut limité. Cette cartouche possède une bonne énergie, mais ne pénètre pas autant que la 308 Win.
308 Win ou 7.62x51mm NATO
La 308 Win est la meilleure cartouche jamais conçue. L'excellente balistique de ce calibre a fait que cette munition est aujourd'hui utilisée par toutes les forces de l'ordre du monde. L'armée fixe sa portée efficace maximum à 800 mètres sur cible.
7.62 Rimmed ou 7.62x54mmR
Cette cartouche Russe est l'équivalent au 30-06 Springfield, offrant une bonne énergie et une bonne balistique. Les soldats russes ont donné 600 mètres comme portée efficace. En tir sur cible, les 900 mètres ne lui font pas peur.
30-06 Springfield ou 7.62x63mm
Cette cartouche a fait la deuxième guerre mondiale mais c'est pendant le conflit du Vietnam qu'elle s'est imposée. La 30-06 Springfield se trouve entre le 308 Win et le 300 Win Mag. Elle offre une meilleure balistique que la 308 Win, et ne punit pas le tireur comme la 300 Win Mag. Pour un usage militaire, sa portée efficace peu, sans aucun problème, atteindre les 1.000 mètres.
7mm Rem Mag
La 7mm Rem Mag secoue moins que la 300 Win Mag. Tout en dépassant de très loin la .308 Win, elle reste néanmoins légèrement inférieur à la 300 Win Mag.
Sa balistique jusqu'à 600 mètres est très impressionnante. La 7mm Rem Mag atteint facilement une cible humaine à 1 000 mètres.
.300 Winchester Magnum
Elle fut d'abord développée comme une balle de chasse commerciale autour des années 1960. Le travail sur l'adaptation de cette cartouche pour le rôle de sniping à longue distance a été entrepris par la marine américaine dans les années 1980 pour répondre à une exigence d'opérations spéciales pour un fusil dont la portée efficace de 800 m de la 7.62x51 s’étendait à 1 200 m. Le chargement standard utilise une balle Sierra Match King qui conserve la minute de précision d'angle hors d'au moins 1.000 m. Elle est utilisée dans les US services à des fins particulières.
Sa puissance et sa pénétration limitent son rôle pour les forces de l'ordre. Son emploi sera limité en présence d'otage, sauf si il faut qu’elle arrête net, un forcené à travers certains éléments (fenêtre, cloison...) ou muni d'une armure comme un gilet par balle.
Une grande critique du 300 Win Mag est la quantité de recul qu'elle produit. Elle « punit » sérieusement le tireur qui fait de longues sessions de tir, à moins d'être équipé d'un frein de bouche très efficace sur le canon.
.338 Lapua Magnum
Initialement développée dans le milieu des années 1980 par une société d'armement pour satisfaire à l'exigence d'USN, elle a été par la suite adoptée par Lapua et est maintenant utilisée pour les besoins civils et militaires. Ce calibre a été conçu pour arriver à 1.000 mètres avec assez d'énergie que pour pénétrer 5 couches d'armure ou gilet par balle tout en donnant la mort. La portée maximale normale est considérée comme étant 1.200 m mais dans des conditions idéales, elle peut atteindre 1.600 m, distance à laquelle la balle devient subsonique. Dans d’excellentes conditions de tir, elle pourrait même atteindre presque les 2.000 mètres. Beaucoup estiment qu'il s'agit d'une série très pratique pour les snipers embusqués avec des fusils qui ne sont pas beaucoup plus grands ou plus lourds que les armes de cal.30 et d’ailleurs, son usage se répand. L'armée britannique a adopté quelques fusils Accuracy International dans ce calibre, il y a quelques années et a récemment remplacé la plupart de ses fusils de sniper en 7,62 mm.
Cette munition n'est pas employée par les forces de l'ordre à moins de vouloir déloger un suspect barricadé ou protégé dans un véhicule blindé. Le souci de ce calibre est le recul, même avec un bon frein de bouche.
.375 CheyTac
La plus récente, c'est tout simplement la.408 CheyTac. Ce calibre a été calculé pour un chargement plus puissant, il tire du 375 gr cuivre-nickel avec une balle à vitesse initiale de 930 m/s, la gamme supersonique serait à environ 2.230 m mais la société qui la fabriquait n'existe plus et on ne fabrique plus ces balles non plus. Des versions wildcat de cette cartouche existent avec de très longues 408, balles développée par Lutz Möller et tirées à 870 m/s. Celles-ci peuvent atteindre des performances étonnantes avec la gamme supersonique à plus de 3.000 m !
.408 CheyTac
Celle-ci a été développée par Cheyenne tactique LLC et introduite en 2001 avec sa propre gamme de fusils sniping. La base originale de la cartouche était l'ancienne « chasse au gros gibier » Gibbs .505 ronde mais, elle a été beaucoup modifiée. La 419 grains standard reste supersonique et efficace à 1.900-2.000 m. Le fusil CheyTac aurait été testé par l'USMC et vendu à l'étranger pour l'utilisation de forces spéciales.
.416 Barrett
Développée récemment par le célèbre fabricant de fusils cal. La base est une .50 BMG qui est raccourcie. Le rendement est très impressionnant, la balle standard reste supersonique à plus de 2.250 m. Cette balle prend 2,5 à 2,6 secondes pour atteindre 2.000 yards (1.830 m), comparées à 3 secondes pour le .408 CheyTac. A ma connaissance, elle n’est pas encore utilisée à l'heure actuelle.
Steyr.460
Cette balle est la .416 Barrett, développée dans le début des années 2000 par l'autrichien Grillmeyer de Horst et adopte le même principe de raccourcissement de la .50 BMG mais cette fois, au calibre .458. On a peu d'informations sur la performance de cette série pour l'instant mais des balles à longue distance très spécialisées ont été développées donc, il est raisonnable de lui supposer une gamme supersonique dans la région de 2.000-2.500 m. Bien sûr, cela signifie également que les canons de ces armes sont aussi grands et lourds que ceux des fusils de .50 BMG ainsi, l’utilisateur devra décider si les avantages balistiques de ces cartouches sont suffisants pour l'emporter sur la perte de la vaste gamme de munitions en calibre.50.
.50 BMG
L'histoire de ce bon vieux calibre est trop bien connue pour ne pas la réexpliquer ici. Mises à part ses utilisations habituelles de MG, cette balle spécialement précise a été développée pour être utilisée par des fusils sniper.
Plus spécialisées, elles révèlent beaucoup plus de potentiel, par exemple la balle de Hornady A-MAX 750 grains, reste supersonique à 2.250-2.300 m, malgré une vitesse initiale de seulement 825 m/s.
Certaines unités d‘intervention spéciales de police utilisent ce calibre comme le GIGN et la DSU pour ne citer qu'eux. Quant aux militaires, tout le monde à déjà entendu parler du soldat Canadien qui a abattu un soldat Irakien à plus de 2.400 mètres pendant la première guerre du Golfe. Malgré ce coup rare, la 50 BMG n'a pas grand intérêt sur les cibles humaines. Néanmoins, à 300 mètres derrière les lignes de défenses, on peut imaginer le ravage. Mais son usage principal, comme pour la première guerre du Golfe, reste les cibles dures telles que les lanceurs de Scud à très grande distance et bien au delà de 1.600 mètres, qui ne résistent pas à l'impact d'une telle munition, avec son projectile de 750 grains.

© Copyright 2023 - Snipersori-Projects SComm